お問い合わせ

  • 〒101-0032
  • 東京都千代田区岩本町1-2-19
  • 株式会社日本法令 GIS会員係
  • 会員直通:03-3862-5463
  • FAX番号:03-3862-5045
お電話での受付時間
平日 9:00~17:30

お問い合わせはこちら

SSL グローバルサインのサイトシール

このシステムは、SSL(Secure Socket Layer) 技術を使用しています。ご入力いただいたお客様情報はSSL暗号化通信により保護されております。SSL詳細は上のセキュアシールをクリックして確認することができます。

GIS Topics

2020年06月

産廃処理施設の設置・産廃処理業の許可等に関する状況を公表

公開日:2020年06月26日
<div id=
産廃処理施設の設置・産廃処理業の許可等に関する状況を公表" width="200"/>
環境省ホームページにおいて、平成29年度の産業廃棄物処理施設の設置、産業廃棄物処理業の許可等に関する状況が公開されました。
 
1.産業廃棄物処理施設の設置状況(平成30年4月1日現在)
・中間処理施設数 19,107件 前年比84件増
・最終処分場数 1,650件 前年比133件減
 
2.産業廃棄物処理業の許可の状況(平成30年4月1日現在)
・産業廃棄物処理業 208,981件 前年比4,849件増
・特別管理産業廃棄物処理業 20,687件 前年比240件増
 
3.行政処分等の状況(平成29年度実績)
(1)立入検査等
・報告徴収の件数(法第18条) 5,249件 前年比8件増
・立入検査の件数(法第19条) 211,750件 前年比24,979件増

(2)行政処分
・産業廃棄物処理業の許可取消し等の件数(法第14条の3及び第14条の3の2)
 378件 前年比23件減

・特別管理産業廃棄物処理業の許可取消し等の件数(法第14条の6)
 32件 前年比16件増

・産業廃棄物処理施設の設置許可取消し等の件数(法15条の2の7及び法第15条の3)
 44件 前年比11件減

・改善命令の件数(法第19条の3)
 18件 前年比4件減

・措置命令の件数(法第19条の5及び第19条の6)
 26件 前年比23件増
 
詳細は環境省ホームページをご覧ください。
産業廃棄物処理施設の設置、産業廃棄物処理業の許可等に関する状況 環境省
https://www.env.go.jp/recycle/waste/kyoninka.html

押印についてのQ&A公開(内閣府/法務省/経済産業省)

公開日:2020年06月24日
<div id=
押印についてのQ&A公開(内閣府/法務省/経済産業省)" width="200"/>
内閣府・法務省・経済産業省は、テレワーク推進の障害となっていると指摘されている、民間における押印慣行について、その見直しに向けた自律的な取組が進むよう、押印についてのQ&Aを作成しました。

内容は以下の通り。
問1.契約書に押印をしなくても、法律違反にならないか。
・ 私法上、契約は当事者の意思の合致により、成立するものであり、書面の作成及びその書面への押印は、特段の定めがある場合を除き、必要な要件とはされていない。
・ 特段の定めがある場合を除き、契約に当たり、押印をしなくても、契約の効力に影響は生じない。

問2.押印に関する民事訴訟法のルールは、どのようなものか。
・ 民事裁判において、私文書が作成者の認識等を示したものとして証拠(書証)になるためには、その文書の作成者とされている人(作成名義人)が真実の作成者であると相手方が認めるか、そのことが立証されることが必要であり、これが認められる文書は、「真正に成立した」ものとして取り扱われる。民事裁判上、真正に成立した文書は、その中に作成名義人の認識等が示されているという意味での証拠力(これを「形式的証拠力」という。)が認められる。
・ 民訴法第228条第4項には、「私文書は、本人[中略]の署名又は押印があるときは、真正に成立したものと推定する。」という規定がある。この規定により、契約書等の私文書の中に、本人の押印(本人の意思に基づく押印と解釈されている。)があれば、その私文書は、本人が作成したものであることが推定される。
・ この民訴法第228条第4項の規定の内容を簡単に言い換えれば、裁判所は、ある人が自分の押印をした文書は、特に疑わしい事情がない限り、真正に成立したものとして、証拠に使ってよいという意味である。そのため、文書の真正が裁判上争いとなった場合でも、本人による押印があれば、証明の負担が軽減されることになる。
・ もっとも、この規定は、文書の真正な成立を推定するに過ぎない。その文書が事実の証明にどこまで役立つのか(=作成名義人によってその文書に示された内容が信用できるものであるか)といった中身の問題(これを「実質的証拠力」という。)は、別の問題であり、民訴法第228条第4項は、実質的証拠力については何も規定していない。
・ なお、文書に押印があるかないかにかかわらず、民事訴訟において、故意又は重過失により真実に反して文書の成立を争ったときは、過料に処せられる(民訴法第230条第1項)。

問3.本人による押印がなければ、民訴法第 228 条第4項が適用されないため、文書が真正に成立したことを証明できないことになるのか。
・ 本人による押印の効果として、文書の真正な成立が推定される(問2参照)。
・ そもそも、文書の真正な成立は、相手方がこれを争わない場合には、基本的に問題とならない。また、相手方がこれを争い、押印による民訴法第 228 条第4項の推定が及ばない場合でも、文書の成立の真正は、本人による押印の有無のみで判断されるものではなく、文書の成立経緯を裏付ける資料など、証拠全般に照らし、裁判所の自由心証により判断される。他の方法によっても文書の真正な成立を立証することは可能であり(問6参照)、本人による押印がなければ立証できないものではない。
・ 本人による押印がされたと認められることによって文書の成立の真正が推定され、そのことにより証明の負担は軽減されるものの、相手方による反証が可能なものであって、その効果は限定的である(問4、5参照)。
・ このように、形式的証拠力を確保するという面からは、本人による押印があったとしても万全というわけではない。そのため、テレワーク推進の観点からは、必ずしも本人による押印を得ることにこだわらず、不要な押印を省略したり、「重要な文書だからハンコが必要」と考える場合であっても押印以外の手段で代替したりすることが有意義であると考えられる。

問4.文書の成立の真正が裁判上争われた場合において、文書に押印がありさえすれば、民訴法第 228 条第4項が適用され、証明の負担は軽減されることになるのか。
・ 押印のある文書について、相手方がその成立の真正を争った場合は、通常、その押印が本人の意思に基づいて行われたという事実を証明することになる。
・ そして、成立の真正に争いのある文書について、印影と作成名義人の印章が一致することが立証されれば、その印影は作成名義人の意思に基づき押印されたことが推定され、更に、民訴法第 228条第4項によりその印影に係る私文書は作成名義人の意思に基づき作成されたことが推定されるとする判例(最判昭 39・5・12民集 18 巻4号 597 頁)がある。これを「二段の推定」と呼ぶ。
・ この二段の推定により証明の負担が軽減される程度は、次に述べるとおり、限定的である。
① 推定である以上、印章の盗用や冒用などにより他人がその印章を利用した可能性があるなどの反証が相手方からなされた場合には、その推定は破られ得る。
② 印影と作成名義人の印章が一致することの立証は、実印である場合には印鑑証明書を得ることにより一定程度容易であるが、いわゆる認印の場合には事実上困難が生じ得ると考えられる(問5参照)。
・ なお、次に述べる点は、文書の成立の真正が証明された後の話であり、形式的証拠力の話ではないが、契約書を始めとする法律行為が記載された文書については、文書の成立の真正が認められれば、その文書に記載された法律行為の存在や内容(例えば契約の成立や内容)は認められやすい。他方、請求書、納品書、検収書等の法律行為が記載されていない文書については、文書の成立の真正が認められても、その文書が示す事実の基礎となる法律行為の存在や内容(例えば、請求書記載の請求額の基礎となった売買契約の成立や内容)については、その文書から直接に認められるわけではない。このように、仮に文書に押印があることにより文書の成立の真正につの証明の負担が軽減されたとしても、そのことの裁判上の意義は、文書の性質や立証命題との関係によっても異なり得ることに留意する必要がある。

問5.認印や企業の角印についても、実印と同様、「二段の推定」により、文書の成立の真正について証明の負担が軽減されるのか。
・ 「二段の推定」は、印鑑登録されている実印のみではなく認印にも適用され得る(最判昭和 50・6・12 裁判集民 115 号 95 頁)。
・ 文書への押印を相手方から得る時に、その印影に係る印鑑証明書を得ていれば、その印鑑証明書をもって、印影と作成名義人の印章の一致を証明することは容易であるといえる。
・ また、押印されたものが実印であれば、押印時に印鑑証明書を得ていなくても、その他の手段により事後的に印鑑証明書を入手すれば、その印鑑証明書をもって、印影と作成名義人の印章の一致を証明することができる。ただし、印鑑証明書は通常相手方のみが取得できるため、紛争に至ってからの入手は容易ではないと考えられる。
・ 他方、押印されたものが実印でない(いわゆる認印である)場合には、印影と作成名義人の印章の一致を相手方が争ったときに、その一致を証明する手段が確保されていないと、成立の真正について「二段の推定」が及ぶことは難しいと思われる。そのため、そのような押印が果たして本当に必要なのかを考えてみることが有意義であると考えられる。
・ なお、3Dプリンター等の技術の進歩で、印章の模倣がより容易であるとの指摘もある。

問6.文書の成立の真正を証明する手段を確保するために、どのようなものが考えられるか。
・ 次のような様々な立証手段を確保しておき、それを利用することが考えられる。
① 継続的な取引関係がある場合取引先とのメールのメールアドレス・本文及び日時等、送受信記録の保存(請求書、納品書、検収書、領収書、確認書等は、このような方法の保存のみでも、文書の成立の真正が認められる重要な一事情になり得ると考えられる。)
② 新規に取引関係に入る場合契約締結前段階での本人確認情報(氏名・住所等及びその根拠資料としての運転免許証など)の記録・保存本人確認情報の入手過程(郵送受付やメールでの PDF 送付)の記録・保存文書や契約の成立過程(メールや SNS 上のやり取り)の保存
③ 電子署名や電子認証サービスの活用(利用時のログイン ID・日時や認証結果などを記録・保存できるサービスを含む。)
・ 上記①、②については、文書の成立の真正が争われた場合であっても、例えば下記の方法により、その立証が更に容易になり得ると考えられる。また、こういった方法は技術進歩により更に多様化していくことが想定される。
(a) メールにより契約を締結することを事前に合意した場合の当該合意の保存
(b) PDF にパスワードを設定
(c) (b)の PDF をメールで送付する際、パスワードを携帯電話等の別経路で伝達
(d) 複数者宛のメール送信(担当者に加え、法務担当部長や取締役等の決裁権者を宛先に含める等)
(e) PDF を含む送信メール及びその送受信記録の長期保存
押印についてのQ&A
http://www.moj.go.jp/MINJI/minji07_00095.html

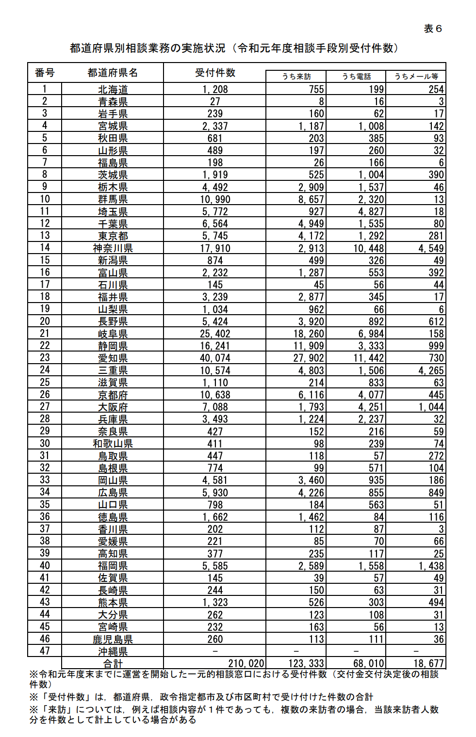
外国人受入環境整備交付金を活用した地方公共団体における一元的相談窓口の現況について

公開日:2020年06月19日
<div id=
外国人受入環境整備交付金を活用した地方公共団体における一元的相談窓口の現況について" width="200"/>
出入国在留管理庁では、在留外国人に多言語での情報提供や相談対応のために地方公共団体が設置・運営する相談窓口に対して、外国人受入環境整備交付金による支援をしているところ、平成30年度及び令和元年度における同交付金の決定状況及び相談実施状況等について取りまとめています。

交付決定を受けて一元的相談窓口を開設・運営をしている自治体
(令和元年度末時点/7自治体は令和2年4月に開設)
 全国で139自治体
 内訳
 ┝都道府県45自治体
 ┝政令市19自治体
 ┝市区(政令市を除く)68自治体
 ┝町6自治体
 ┗村1自治体


相談内容
 年金・税金(14.3%)
 社会保険・医療(10.8%)
 身分関係(8.0%)
 入国・在留手続(6.8%)
 子供の教育(5.5%)
の順に多くなっています。


相談対応等において用いた言語
 ポルトガル語(31.7%)
 日本語(24.8%)
 英語(14.0%)
の順に多くこれらの言語が全体の70.5%を占めています。
外国人受入環境整備交付金を活用した地方公共団体における一元的相談窓口の現況について 法務省
http://www.moj.go.jp/nyuukokukanri/kouhou/nyuukokukanri15_00021.html

第201回通常国会において「賃貸住宅の管理業務等の適正化に関する法律(賃貸管理適正化法)」が成立しました。

公開日:2020年06月17日
<div id=
第201回通常国会において「賃貸住宅の管理業務等の適正化に関する法律(賃貸管理適正化法)」が成立しました。" width="200"/>
賃貸住宅志向の高まりや単身世帯、外国人居住者の増加等を背景に、今後も我が国の生活の基盤としての賃貸住宅の重要性が高まる一方で、賃貸住宅の管理は近年、オーナーの高齢化や相続等に伴う兼業化の進展、管理内容の高度化等により、管理業者に管理を委託等するオーナーが増加しています。

しかし、管理業者の介在が増加する中、オーナーあるいは入居者とのトラブルが増加しているため、適正化のための措置が講じられます。
 
【賃貸管理適正化法 概要】

1.サブリース業者と所有者との間の賃貸借契約の適正化に係る措置
・トラブルを未然に防止するため、全てのサブリース業者の勧誘時や契約締結時に一定の規制を導入
・サブリース業者と組んでサブリースによる賃貸住宅経営の勧誘を行う者(勧誘者)にも、勧誘の適正化のため規制の対象とする
・違反者に対しては、業務停止命令や罰金等の措置により、実効性を担保
 
2.賃貸住宅管理業に係る登録制度の創設
・賃貸住宅における良好な居住環境の確保を図るとともに、不良業者を排除し、業界の健全な発展・育成を図るため、賃貸住宅管理業者の登録制度を創設
賃貸住宅の管理業務等の適正化に関する法律案(閣議決定時) 国土交通省
https://www.mlit.go.jp/report/press/content/001331551.pdf
国会提出時法律案
https://www.sangiin.go.jp/japanese/joho1/kousei/gian/201/pdf/t0802010442010.pdf

「個人情報の保護に関する法律等の一部を改正する法律」の公布

公開日:2020年06月16日
<div id=
「個人情報の保護に関する法律等の一部を改正する法律」の公布" width="200"/>
「個人情報の保護に関する法律等の一部を改正する法律案」が令和2年6月5日の国会において可決、成立し、令和2年6月12日に官報告示されました。

今回の改正法では、
・望まないデータの利用停止を事業者に求める権利を拡大
・Cookie情報を入手した第三者は個人データとして使う場合は本人の同意を取ることを義務付ける
・氏名を削除するなどしてデータを加工した「仮名加工情報」制度を導入
・法人への罰金上限を「1億円」に強化
 
など、事業者にとって影響の大きい内容の改正が盛り込まれています。
 
今後、政省令、ガイドライン等が制定された後、改正法の施行は一部を除いて、公布後2年以内となっていますが、さらに複雑化し、細かい内容が規定されているため、今のうちから全体像を掴み具体的な設計に入る方が良さそうです。
「個人情報の保護に関する法律等の一部を改正する法律」の公布について
https://www.ppc.go.jp/news/press/2020/200612/

民泊制度ポータルサイトが住宅宿泊事業法の届出状況を更新
(令和2年5月11日時点)

公開日:2020年06月08日
<div id=
民泊制度ポータルサイトが住宅宿泊事業法の届出状況を更新
(令和2年5月11日時点)" width="200"/>
民泊制度ポータルサイトにおいて住宅宿泊事業法に基づく届出及び登録状況(5月11日時点)が更新された。

住宅宿泊事業法が施行されて3年目となるが、事業廃止届も増加している。
新型コロナウイルスによる渡航制限や営業自粛の影響を受けて、廃業等の増加が心配される状況である。

・住宅宿泊事業の届出件数:25,931件(うち事業廃止件数が4,755件)
・住宅宿泊管理業の登録件数:2,139件
・住宅宿泊仲介業の登録件数:79件

■住宅宿泊事業の届出件数
・都道府県別
 福岡県:1,378件(336件)
 沖縄県:1,092件(130件)
 北海道: 727件(118件)
 千葉県: 597件( 33件)
 東京都: 244件( 28件)

・保健所設置市別
 大阪市 :3,753件(1,327件)
 札幌市 :2,896件(  723件)
 京都市 : 821件(  104件)
 名古屋市: 447件(  66件)
 広島市 : 315件  77件)

・特別区別
 新宿区:1,891件219件)
 豊島区:1,130件190件)
 渋谷区:1,002件109件)
 台東区: 928件242件)
 墨田区: 810件132件)

となっています。
民泊制度ポータルサイトが住宅宿泊事業法の届出状況を更新(令和2年5月11日時点)
https://www.mlit.go.jp/kankocho/minpaku/business/host/construction_situation.html

公共工事の発注関係事務に関する「新・全国統一指標」の決定

公開日:2020年06月01日
<div id=
公共工事の発注関係事務に関する「新・全国統一指標」の決定" width="200"/>
国土交通省は、公共工事の品質確保の促進に関する法律(品確法)が昨年改正されたことに伴い、工事、測量・調査及び設計に関する「新たな全国統一指標」を下記の通り、決定した。

新・全国統一指標
【工事
1. 地域平準化率(施工時期の平準化)
国等・都道府県・市区町村の発注工事の稼働件数から算出した平準化率
(地域ブロック単位・県域単位で公表)
※地域平準化率の内訳となる各発注機関別の平準化率(H30実績、参考値)を併せて公表

2. 週休2日対象工事の実施状況(適正な工期設定)
国等・都道府県・政令市の発注工事に対する週休2日対象工事の設定割合
(地域ブロック単位・県域単位で公表)
※週休2日対象工事→週休2日が確保できる工期設定や積算における補正係数の設定等により、現場閉所・交代制を問わずに4週8休以上の確保を促進するための工事

3. 低入札価格調査基準又は最低制限価格の設定状況(ダンピング対策)
都道府県・市区町村の発注工事に対する低入札価格調査基準又は最低制限価格等の設定割合
(県域単位で公表)


測量、調査及び設計(業務)
1. 地域平準化率(履行期限の分散)
国等・都道府県・政令市の発注業務の第4四半期履行期限設定割合
(地域ブロック単位・県域単位で公表)

2. 低入札価格調査基準又は最低制限価格の設定状況(ダンピング対策)
都道府県・市区町村の発注業務に対する低入札価格調査基準又は最低制限価格の設定割合
(県域単位で公表)

全国の地域ブロック発注者協議会において指標や基準値、目標値等を検討し、今年の秋以降に決定した指標等の値を公表する予定。また、指標の実績値については、毎年度公表予定としている。
国土交通省 報道発表資料
https://www.mlit.go.jp/report/press/kanbo08_hh_000693.html
2025年
2024年
2023年
2022年
2021年
2020年
2019年